跳至主要內容
陽明信望愛社典藏

首頁 81~84學年度 陽明信望愛社81學年度第一學期活動記錄與會議資料

屬於文件:陽明信望愛社81學年度第一學期活動記錄與會議資料 (47 頁 · 聚會筆記)

陽明團契禱告會

81~84學年度 聚會表 第 43 頁 1992 · 1992-09-17 · 1992-09-24 · 1992-10-01 · 1992-10-08 · 1992-10-15 · 1992-10-22 · 1992-10-29 · 1992-11-05 · 1992-11-19 · 1992-11-26 · 1992-12-03 · 1992-12-10 · 1992-12-17 · 1992-12-24 OCR · 自動 模型:gemini-2.5-flash
摘要 (可點擊編輯)

此頁為陽明團契1992年秋季學期的禱告會時間表,列出了從9月17日至12月24日每週四早晨的禱告主題、負責帶領的同工以及相關班級。禱告會地點為交誼廳,並附有幾點注意事項。

20210625175540_043.png 原圖
OCR 文字

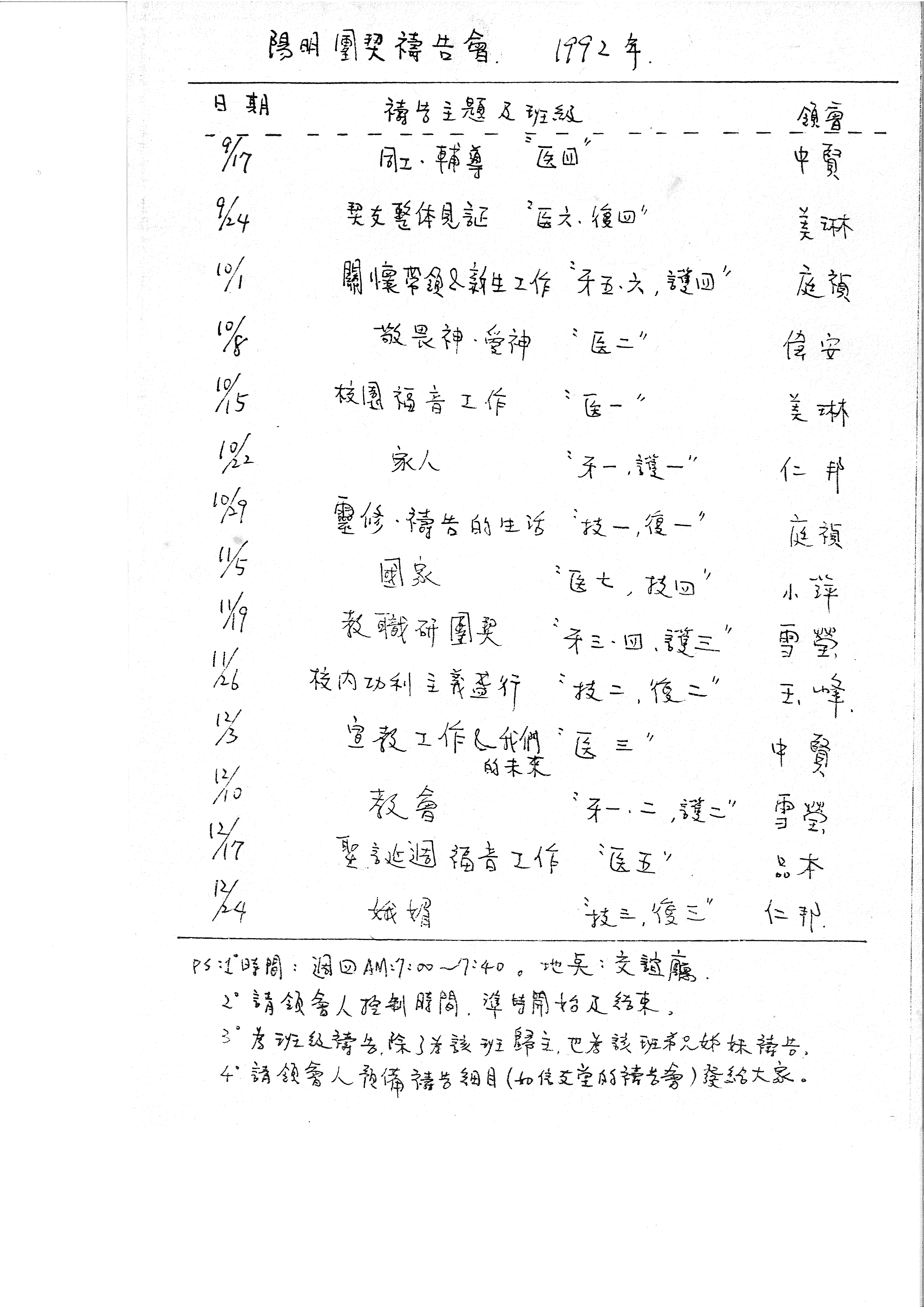
陽明團契禱告會。1992年

日期 禱告主題及班級 領會
9/17 同工、輔導 “醫四” 中賢
9/24 契友整體見証 “醫六、復四” 美琳
10/1 關懷帶領&新生工作 “牙五、六, 護四” 庭禎
10/8 敬畏神、愛神 “醫二” 偉安
10/15 校園福音工作 “醫一” 美琳
10/22 家人 “牙一, 護一” 仁邦
10/29 靈修、禱告的生活 “技一, 復一” 庭禎
11/5 國家 “醫七, 技四” 小萍
11/19 教職研團契 “牙三、四, 護三” 雪瑩
11/26 校內功利主義盛行 “技二, 復二” 王峰
12/3 宣教工作&我們的未來 “醫三” 中賢
12/10 教會 “牙一、二, 護二” 雪瑩
12/17 聖誕週福音工作 “醫五” 品木
12/24 婚姻 “技三, 復三” 仁邦

PS: 1° 時間:週四 AM:7:00~7:40。地奌:交誼廳。 2° 請領會人控制時間,準時開始及結束。 3° 為班級禱告,除了為該班歸主,也為該班弟兄姊妹禱告。 4° 請領會人預備禱告細目(如信友堂的禱告會)發給大家。

本頁人物

9 位
地點
結構標籤
has-table