跳至主要內容
71~81學年度 同工組織 第 6 頁 1983-12 OCR · 自動✎ 模型:gemini-2.5-flash 摘要 (可點擊編輯)
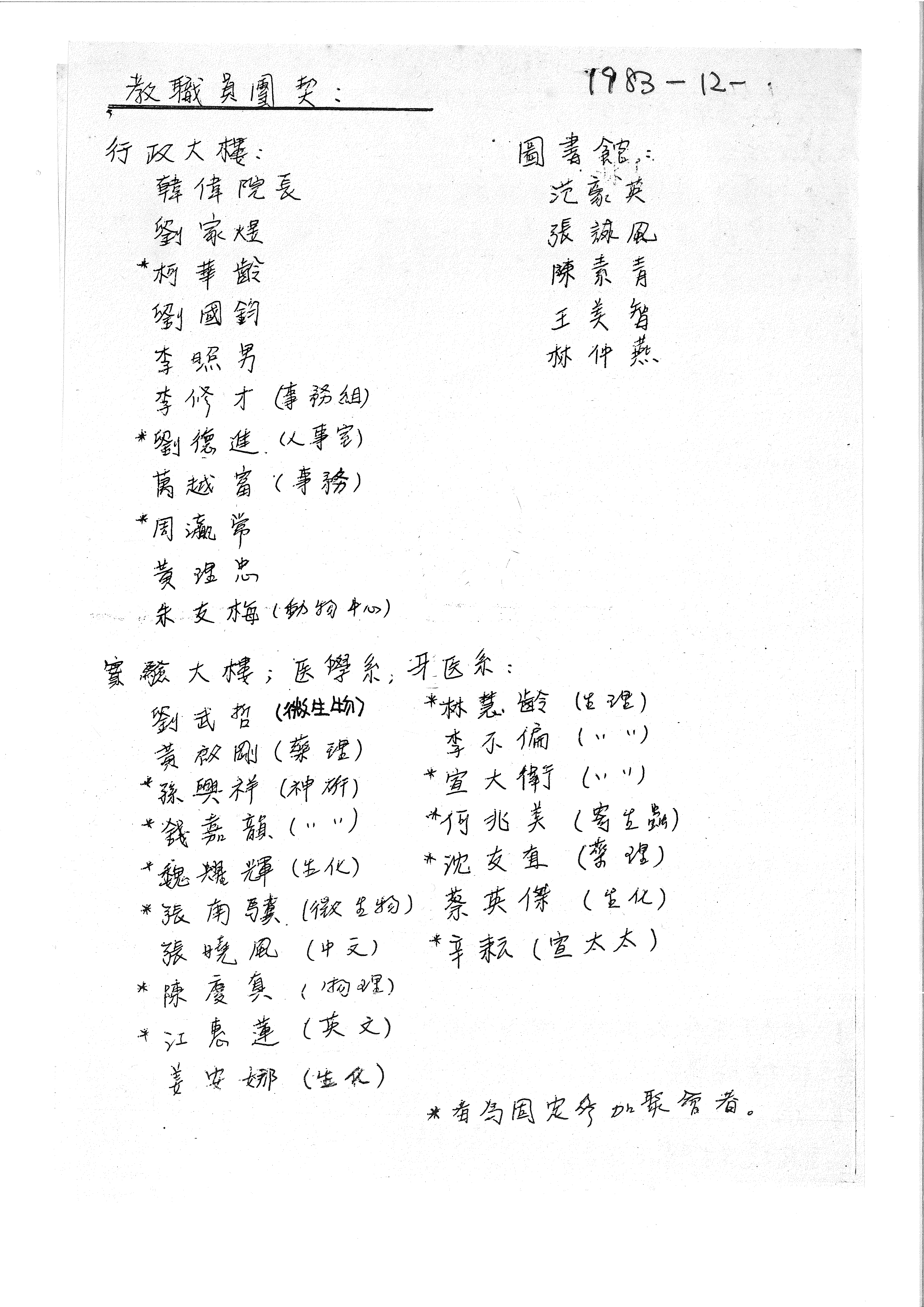
此頁為一份教職員團契名單,列出了陽明大學的教職員工,並依其所屬的行政大樓、圖書館或實驗大樓等部門進行分類。名單中特別標註了固定參加團契聚會的成員。
[25] 教職員團契_畢業契友聯絡_其他_006.png
原圖 ↗ 教職員團契:
1983-12-
| 行政大樓: |
圖書館: |
| 韓偉院長 |
范豪英 |
| 劉家煜 |
張詠風 |
| *柯華齡 |
陳素青 |
| 劉國鈞 |
王美智 |
| 李照男 |
林仲燕 |
| 李修才 (事務組) |
|
| *劉德進 (人事室) |
|
| 萬越富 (事務) |
|
| *周瀛常 |
|
| 黃理忠 |
|
| 朱友梅 (動物中心) |
|
實驗大樓; 醫學系; 牙醫系:
|
|
| 劉武哲 (微生物) |
*林慧齡 (生理) |
| 黃啟剛 (藥理) |
李不偏 (〃〃) |
| *孫興祥 (神研) |
*宣大衛 (〃〃) |
| *錢嘉韻 (〃〃) |
*何兆美 (寄生蟲) |
| *魏耀輝 (生化) |
*沈友仁 (藥理) |
| *張南真 (微生物) |
蔡英傑 (生化) |
| 張曉風 (中文) |
*辛耘 (宣太太) |
| *陳慶真 (物理) |
|
| *江惠蓮 (英文) |
|
| 姜安娜 (生化) |
|
*者為固定參加聚會者。
本頁人物
33 位 - 韓偉 [院長]
- 劉家煜
- 柯華齡 [固定參加聚會者]
- 劉國鈞
- 李照男
- 李修才 [事務組]
- 劉德進 [人事室, 固定參加聚會者]
- 萬越富 [事務]
- 周瀛常 [固定參加聚會者]
- 黃理忠
- 朱友梅 [動物中心]
- 范豪英
- 張詠風
- 陳素青
- 王美智
- 林仲燕
- 劉武哲 [微生物]
- 林慧齡 [生理, 固定參加聚會者]
- 黃啟剛 [藥理]
- 李不偏 [藥理]
- 孫興祥 [神研, 固定參加聚會者]
- 宣大衛 [神研, 固定參加聚會者]
- 錢嘉韻 [神研, 固定參加聚會者]
- 何兆美 [寄生蟲, 固定參加聚會者]
- 魏耀輝 [生化, 固定參加聚會者]
- 沈友仁 [藥理, 固定參加聚會者]
- 張南真 [微生物, 固定參加聚會者]
- 蔡英傑 [生化]
- 張曉風 [中文]
- 辛耘 [宣太太, 固定參加聚會者]
- 陳慶真 [物理, 固定參加聚會者]
- 江惠蓮 [英文, 固定參加聚會者]
- 姜安娜 [生化]
編輯後的中介資料會以 commit 的方式直接寫入 GitHub repo,Vercel 將於 2~3 分鐘後自動重新部署。
完成後可按右上角 ✕ 或 ESC 關閉面板,您仍會保持登入狀態。
GitHub 存取權杖
請於 GitHub 個人權杖頁面 建立 fine-grained PAT,限定 repo 為
galencky/YMFHL_digital_museum
,僅授予 Contents: Read and write。
備註:權杖以明碼存於本機 localStorage。請務必使用 fine-grained PAT 並限定 repo 與權限範圍,
並於不再使用時點擊「移除權杖」。
YMFHL · Digital Museum
陽明信望愛社數位典藏
本典藏館為團契內部使用,請於閱讀以下聲明並同意後輸入通行密碼進入。
使用聲明
-
本典藏館內所有 OCR 文字、摘要、人物與聚會等整理資訊,皆由人工智慧(Gemini)自動辨識與彙整,
並非 100% 正確,可能含有錯字、漏字、誤判或推論錯誤。
請以原始掃描檔為準,引用、轉述前請自行核對原稿。
-
本典藏內容包含團契成員之個人資訊(姓名、系級、職務、出席紀錄、簽名等)。
本人理解並同意:不對外散布、公開轉載或洩漏這些個人資訊,
僅將其用於團契內部之回顧、研究與紀念用途;如需對外引用,須先取得當事人或團契同意。