跳至主要內容
陽明信望愛社典藏

首頁 71~81學年度 陽明團契聚會表彙編

屬於文件:陽明團契聚會表彙編 (21 頁 · 聚會表)

芥菜種、陽明團契 73.2.29 聚會表

71~81學年度 聚會表 第 3 頁 民國 72 學年度 1984-02-29 · 1984-03-01/1984-06-14 · 1984-02/1984-06 OCR · 自動 模型:gemini-2.5-flash
摘要 (可點擊編輯)

此頁為芥菜種與陽明團契於民國73年2月29日發布的本學期(72學年度下學期,1984年3月至6月)聚會表。內容列出12次聚會的日期、主題、講員、領會和司琴,主題涵蓋靈修、舊約人物查經、基督徒與功課、家庭、婚姻及社會服務等,並包含一場送舊活動。

[20] 1983~1996_團契聚會表_003.png 原圖
OCR 文字

[手寫]

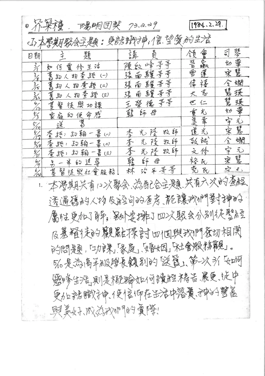
芥菜種、陽明團契 73.2.29 [1984.2.29.]

本學期聚會主題:更認識神,信望愛的生活

日期 主題 講員 領會 司琴
3/1 如何靈修生活 陳啟峰哥哥 晉贏 幼華
3/8 舊約人物查經(一) 張南驥哥哥 雪蓮 宋慧
3/15 舊約人物查經(二) 張南驥哥哥 偉禧 令嫻
3/22 舊約人物查經(三) 張南驥哥哥 大志 慧瑛
4/12 基督徒與功課 王榮德哥哥 世仁 慧瑛
5/3 家庭的使命感 韓師母 重光 幼華
5/10 送舊 [空白] 美幸 宇元
5/17 查經:約翰一書(一) 李光陵牧師 道光 宋慧
5/24 查經:約翰一書(二) 李光陵牧師 致誠 令嫻
5/31 查經:約翰一書(三) 李光陵牧師 文修 宇元
6/7 另一半的追尋 韓師母 裕民 宋慧
6/14 基督徒與社會服務 林治平哥哥 竟民 宇元
  1. 本學期共有12次聚會,為配合主題,共有六次的查經,透過舊約的人物及經句的查考,能讓我們對神的屬性更加了解;另外安排了四次聚會分別從聖經及基督徒的觀點來探討四個與我們密切相關的問題:「功課」、「家庭」、「婚姻」、「社會服務觀」。5/10是為高年級學長餞別的「送舊」、第一次的「如何靈修生活」則是概論如何讀經禱告、展更、從中更加認識神,使信仰在生活中落實,神的豐富與美好,成為我們的實際!

本頁人物

23 位

引用經文

1 處
  • 約翰一書 約翰一書
經文
結構標籤
has-tablemixed-print-handwriting